The Truth About Fasted Workouts: Cortisol, Muscle Loss, and Performance Explained
Sep 15, 2025
Should You Work Out Fasted?
The short answer: No.
Fasted workouts can sound tempting... Maybe you’ve heard they burn more fat, or maybe it just feels easier to roll out of bed and train on an empty stomach.
But consistently working out fasted doesn’t give you an edge: it can actually hold you back. Over time, it chips away at your performance, recovery, and even your long-term health.
I learned this the hard way. Back in 2019, I put fasted training to the test since I thought it was better for my health and 'autophagy'. At first it felt “efficient,” but the cracks showed quickly. My energy tanked, recovery lagged, and strength dropped.
Instead of gaining, over time I lost strength and muscle mass (the exact opposite of what I was after.)
Now, if fasted training is truly the only way you can move your body, it’s still better than skipping the gym.
But if you have the option? A pre-workout meal (even something small) almost always sets you up for better performance, better results, and better health.
Fasted workouts simply aren’t optimal. Let’s break down why. ⤵️
Fasted Training Doesn’t Burn More Fat 🚫
One of the biggest myths is that training on an empty stomach equals more fat loss.
Here’s what the research actually shows:
- Multiple studies and meta-analyses confirm there’s no significant difference in long-term fat loss between fasted and fed training, as long as diet is controlled. (ref, ref, ref)
- In a fasted state, you may burn a higher percentage of fat during that workout, but what matters is your 24-hour energy balance. The body “catches up” later: if you burn more fat during exercise, you’ll burn less fat afterward, and vice versa.
- Fasted exercise does not lead to greater fat loss compared to fed exercise. (ref)
Translation: there’s no magical fat-burning edge.
And you can still burn and lose fat without fasted exercise.
So, if your goal is fat loss, don’t rely on fasted training as your “hack.” It’s not needed.
What About Muscle Growth? 💪
This is where things really matter.
Building muscle requires progressive overload, recovery, and adequate nutrition. Fasted training doesn’t necessarily block gains if you’re able to really push yourself, and are eating enough protein and calories overall, but here’s the catch:
- Training fed gives you a performance edge. (ref, ref, ref) You’ll have more energy, push heavier weights, and do more reps, all of which create a stronger stimulus for muscle growth.
- Fasted training, by contrast, often leads to lower workout volume and intensity. That means fewer reps, less weight lifted, and ultimately less stimulus for growth.
In a calorie deficit during a fat loss phase, the risks are higher. Your body is already under energy stress, and fasted training raises the chance of muscle loss by increasing muscle breakdown for energy. A pre-workout meal with protein (and ideally carbs) helps protect muscle while supporting performance.
So if you want to maximize strength and muscle retention (especially in fat-loss phases) fed training is the safer, smarter bet!
The Physiology of Fasted Training🔬
When you understand physiology, you can better understand why regularly exercising in a fasted state doesn’t just run the risk of hindering gym performance, it can actually stress your body in ways that harm long-term health.
The preferred fuel source for muscles during exercise is carbohydrates. During strength training or sprints, your muscles rely almost entirely on carbs. Even during Zone 2 cardio, which is lower intensity, muscles use a mix of fat and carbs.
When you train without fuel, your body still needs glucose, so it taps into glycogen stores (your carb reserves), and these get drained quickly. If glycogen isn’t topped off from a pre-workout meal, your body will ramp up gluconeogenesis (ref), the process of making carbs from non-carb sources like protein and fat. This comes at a cost: stress hormones, especially cortisol, rise.
As one study noted:
“The higher level of cortisol concentration during fasting is a response to a catabolic process to restore glucose needs by stimulating gluconeogenesis, proteolytic activity, and increasing skeletal protein degradation after 12 hours of fasting.” (ref)
In plain English: your body mobilizes fat and starts breaking down valuable muscle tissue to generate the glucose it desperately needs.
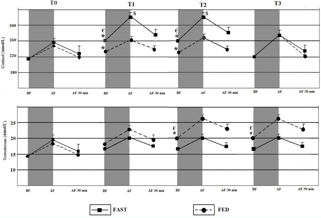
In a study comparing fasted vs. fed exercise during Ramadan (ref), participants who trained fasted consistently showed:
- Higher cortisol levels before, during, and after workouts
- Lower testosterone compared to the fed group
The data in the figure below show measurements taken before, immediately after, and 30 minutes after exercise, across four time points in the study: T0 (2 weeks before Ramadan), T1 (day 15), T2 (day 29), and T3 (3 weeks after Ramadan).
You can see that participants who trained fasted (black squares) consistently had higher cortisol and lower testosterone compared to the fed group (black circles). Even at T3, three weeks after fasting ended, cortisol levels normalized, but testosterone remained suppressed, indicating long-term hormonal disruption.
Disrupted cortisol levels from fasted exercise have been reported in other studies as well. (ref)

Unfortunately, it doesn’t stop there. Persistently high cortisol levels have been shown to increase abdominal fat accumulation and decrease muscle mass, moving body composition in the wrong direction.
In one study, participants who consumed carbs before or during exercise had lower cortisol and even smaller waist circumferences compared to those who trained fasted. (ref)
This makes sense because glucocorticoids (like cortisol) influence fat distribution: they promote the growth and differentiation of fat cells, especially in visceral (abdominal) fat, where their receptors are more abundant.
Fasted training can also drive muscle loss through excessive gluconeogenesis, as your body breaks down muscle tissue to create the glucose it needs.
The result? A higher risk of becoming “skinny fat”: lower muscle mass with higher central fat, which not only impacts your appearance but slows your metabolism long-term.
Building and maintaining muscle is a powerful way to boost metabolic rate. Research (ref) shows:
- 1 kg of muscle burns ~13 kcal/day
- 1 kg of fat burns ~4.5 kcal/day
More muscle = higher metabolism = more calories burned every day. So, one of the best ways to rev your metabolism? Lose fat and build and maintain muscle mass.

And to further understand why fasted exercise may not be optimal for your health in the long run, let’s discuss stored glycogen.
Liver glycogen levels drop 20–30% by morning after your sleep (ref), which is an overnight fast.
Why? Because while you sleep, your liver is hard at work, continuously releasing glucose into the bloodstream to keep your brain and other organs fueled.
Even though you’re resting, your body never truly stops working. Liver glycogen acts like a “glucostat”, maintaining steady blood sugar overnight. This not only keeps you alive but also supports essential processes like detoxification while you sleep.
So when you wake up, your glycogen stores are partially depleted.
Why should you care about glycogen?
Adequate glycogen supports:
- Detox: your liver needs glycogen to power detoxification pathways.
- Stable blood sugar: liver glycogen releases glucose between meals, keeping blood sugar steady.
- Lower stress hormones: when glycogen is sufficient, your body doesn’t need to crank out cortisol or adrenaline to make new glucose.
- Better gym performance: glycogen fuels high-intensity exercise and supports motor neurons for coordination and strength.
- Muscle growth support: glycogen in muscle acts as an anabolic signal, reducing breakdown and aiding recovery.
- Brain fuel: liver glycogen is the main reserve to keep your brain supplied with glucose, especially overnight.
- Thyroid & metabolism support: glycogen signals a “fed state,” helping maintain thyroid output and metabolic rate.
- Hormone balance: sufficient glycogen supports reproductive hormone signaling; low glycogen/stress can suppress fertility signals.
- Immune resilience: immune cells need glucose, and glycogen helps provide it during stress or infection.
Organ systems you rely on for clear thinking, good digestion, and strong detoxification function sub optimally when energy is low.
Glycogen isn’t just “carb storage.” It’s a signal to your body that energy is available, which reduces stress and supports nearly every system.
Fasted exercise can disrupt this balance. Training fasted means you spend much of the day in a depleted glycogen state (both liver and muscle), sending a stress signal that dysregulates your nervous system.
For example, in one study (ref), two groups consumed the same meals and calories but exercised at different time: one fasted, one non-fasted. Muscle and liver glycogen levels throughout the day showed that the fasted group was in a glycogen deficit, while the non-fasted group maintained higher glycogen levels.
The figure below from the study shows muscle and liver glycogen levels throughout the day for the fasted group (closed circles) versus the non-fasted exercise group (open circles). Those who trained fasted remained in a glycogen deficit for most of the day.

Why does this matter in real life?
Chronic high cortisol doesn’t just feel bad; it can slowly erode your health.
Over time, it can:
- Increase abdominal fat storage
- Reduce muscle mass and slow metabolism
- Lower insulin sensitivity and impair recovery
- Compromise immune function and energy production
All exercise creates some stress (which is beneficial), but consistently training fasted adds unnecessary stress. This can hinder muscle growth, gym performance, and overall health.
When you regularly train fasted, you’re:
- Raising cortisol and lowering testosterone
- Increasing catabolism and risk of muscle loss
- Encouraging central fat gain
- Sending a constant stress signal to your nervous system instead of one of homeostasis and safety
Over time, this pattern can contribute to being “skinny fat” (lower muscle level, and higher belly fat levels) which negatively impacts both metabolism and long-term health.
Practical Takeaways & Final Reflection:
Of course, you don’t want a heavy, hard-to-digest meal right before you lift: your body will be using energy to digest rather than focus on the workout.
That’s why some people feel better lifting fasted; their stomach feels lighter. And yes, you might technically “perform” better than trying to train immediately after a big, bulky meal.
But here’s the thing: if your glycogen stores are topped off, you’ll lift heavier, push more reps, and get a stronger muscle stimulus (which is what actually drives muscle growth). Fasted workouts can leave reps and gains on the table.
Even a small pre-workout meal with carbs can make a big difference. Topping off liver glycogen before a morning lift lets you outperform when compared to starting in a depleted state.
- If you can, eat something small before training. You don’t need a huge, heavy meal. Even something light (like fruit with yogurt, homemade gummies, or orange juice with protein) tops off glycogen and gives you a performance edge, and can improve cortisol patterns.
- If fasted training is your only option, get it done, but prioritize eating carbs + protein right after to replenish glycogen and support recovery.
- Consistency matters most. But if you’re serious about body composition, performance, and long-term health, fed training wins.
- If you are someone that lives a very high stress life, fasted training is not going to help improve your health!
If you understand how important muscle mass is…
If you know that fasted training increases stress and risks muscle loss…
And if you have the choice of when (and how) to train…
👉 Why would you take the risk?
Fuel your body. Lift strong. Build muscle. Better support your health.
Looking for an easy to follow workout app that helps you build muscle and support your health?
Learn more about our Train2Change app, and join for less than $1 per day! Muscle-building workouts and educational info (like what you should eat before and after workouts!) all in one app.